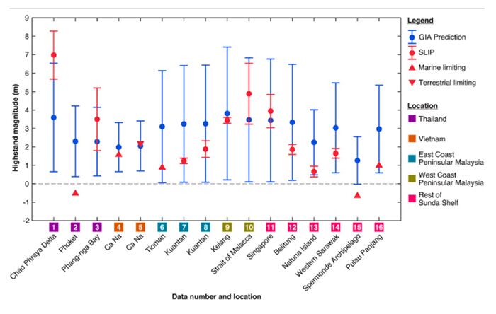
7–4 tysiące lat temu poziom mórz w Azji Południowo-Wschodniej był o 3–4 metry wyższy niż obecnie

Kompleksowa analiza danych pokazuje, że względny poziom morza był od 1 do 7 metrów (~3,9 m) wyższy niż obecny w całym środkowym holocenie w 15 z 16 ocenianych miejsc w Azji Południowo-Wschodniej.

W nowym badaniu (Li i in., 2023) zestawiono rekordy wysokościowe z miejsc obejmujących Tajlandię, Wietnam, Singapur, Malezję, Borneo, Szelf Sundajski, Cieśninę Makassar… i wskazano, że w całej Azji Południowo-Wschodniej szczyt względnego poziomu morza wynosił ~3,9 ±1,1 m przy 6 tysięcy lat temu.

Spośród 16 ocenionych lokalizacji tylko w 1 nie wykazano, że poziom mórz jest wyższy niż obecny, przy ówczesnym poziomie CO2, który wynosił 265 części na milion.

Science Direct

Loading

NewsEdit

Author: NewsEdit